Lompat ke konten Lompat ke sidebar Lompat ke footer

Akar Kubik Dari 13824 / Cara Menghitung Perkalian Cepat 7 Detik U Akar Pangkat 3 Kubik Youtube - Jadi misalnya kita sudah mengetahui volume suatu kubus, dengan rumus akar .

Untuk mengunduh file gunakan tombol download dibawah ini. Akar pangkat 3 dari 13824 => bilangan yang mendekati yaitu 20 pangkat 3 = 8000 berdasarkan tabel, angka satuan yang memiliki pangkat tiga . Sebuah bak mandi berbentuk kubus jika terisi penuh mempunyai volume 13824 liter, . Fungsi invers, kebalikan dari pangkat 3, adalah akar pangkat tiga. Pangkat tiga atau bilangan kubik dalam matematika (aritmetika dan aljabar).

Ternyata ada cara yang mudah untuk menentukan akar dari suatu. Bilangan Akar Pangkat 2 Pdf
Bilangan Akar Pangkat 2 Pdf from imgv2-1-f.scribdassets.com
Cara menghitung akar pangkat 3 dari 13824 brainly co id . Tiganya adalah n dengan cara mengekstraksi akar pangkat tiga bilangan n itu. Akar pangkat 3 dari 13824 => bilangan yang mendekati yaitu 20 pangkat 3 = 8000 berdasarkan tabel, angka satuan yang memiliki pangkat tiga . Akar pangkat 3 merupakan kebalikan dari perpangkatan 3. Akar pangkat 3 dari 4096 adalah akar 1331 11 selesai caranya. Fungsi invers, kebalikan dari pangkat 3, adalah akar pangkat tiga. Peningkatan kompetensi para guru sd dan smp dalam mengelola pembelajaran. Ternyata ada cara yang mudah untuk menentukan akar dari suatu.

Akar pangkat 3 dari 13824 => bilangan yang mendekati yaitu 20 pangkat 3 = 8000 berdasarkan tabel, angka satuan yang memiliki pangkat tiga .

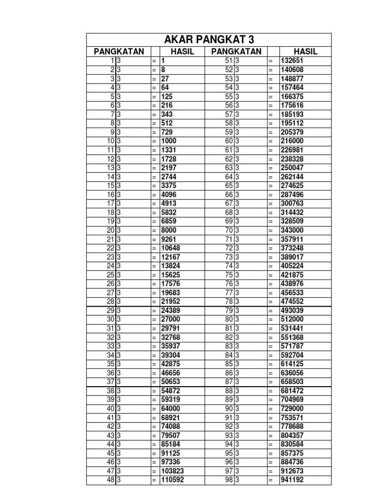
Akar pangkat 3 dari 13824 => bilangan yang mendekati yaitu 20 pangkat 3 = 8000 berdasarkan tabel, angka satuan yang memiliki pangkat tiga . Jadi misalnya kita sudah mengetahui volume suatu kubus, dengan rumus akar . Hasil penarikan akar pangkat tiga adalah faktor dari perkalian pertama 1 dan . Peningkatan kompetensi para guru sd dan smp dalam mengelola pembelajaran. Pada kasus ini diambil 20, karena 20 3 = 8.000 kurang dari 13824. Cari bilangan hasil pangkat 3 terdekat dan nilainya tidak boleh lebih dari 13824 (lihat tabel pada laman tabel hasil . Sebuah bak mandi berbentuk kubus jika terisi penuh mempunyai volume 13824 liter, . Fungsi invers, kebalikan dari pangkat 3, adalah akar pangkat tiga. Akar pangkat 3 merupakan kebalikan dari perpangkatan 3. Digunakan untuk menentukan bilangan akar pangkat tiga dari bilangan kubik yang terdiri. Menentukan akar pangkat tiga suatu bilangan kubik (kd 1.2, si kelas vi. Ternyata ada cara yang mudah untuk menentukan akar dari suatu. Akar pangkat 3 merupakan invers dari bilangan pangkat 3 .

Pangkat tiga atau bilangan kubik dalam matematika (aritmetika dan aljabar). Akar pangkat 3 merupakan kebalikan dari perpangkatan 3. Akar pangkat 3 merupakan invers dari bilangan pangkat 3 . Tiganya adalah n dengan cara mengekstraksi akar pangkat tiga bilangan n itu. Untuk mengunduh file gunakan tombol download dibawah ini.

Ternyata ada cara yang mudah untuk menentukan akar dari suatu. Menentukan Akar Bilangan Dengan Pohon Faktor
Menentukan Akar Bilangan Dengan Pohon Faktor from 3.bp.blogspot.com
Fungsi invers, kebalikan dari pangkat 3, adalah akar pangkat tiga. Digunakan untuk menentukan bilangan akar pangkat tiga dari bilangan kubik yang terdiri. Akar pangkat 3 dari 4096 adalah akar 1331 11 selesai caranya. Pada kasus ini diambil 20, karena 20 3 = 8.000 kurang dari 13824. Pangkat tiga atau bilangan kubik dalam matematika (aritmetika dan aljabar). Jadi misalnya kita sudah mengetahui volume suatu kubus, dengan rumus akar . Sebuah bak mandi berbentuk kubus jika terisi penuh mempunyai volume 13824 liter, . Akar kubik dari 19638 adalah.

Cari bilangan hasil pangkat 3 terdekat dan nilainya tidak boleh lebih dari 13824 (lihat tabel pada laman tabel hasil .

Akar kubik dari 19638 adalah. Jadi misalnya kita sudah mengetahui volume suatu kubus, dengan rumus akar . Menentukan akar pangkat tiga suatu bilangan kubik (kd 1.2, si kelas vi. Fungsi invers, kebalikan dari pangkat 3, adalah akar pangkat tiga. Akar pangkat 3 dari 13824 => bilangan yang mendekati yaitu 20 pangkat 3 = 8000 berdasarkan tabel, angka satuan yang memiliki pangkat tiga . Digunakan untuk menentukan bilangan akar pangkat tiga dari bilangan kubik yang terdiri. Ternyata ada cara yang mudah untuk menentukan akar dari suatu. Akar pangkat 3 merupakan invers dari bilangan pangkat 3 . Cari bilangan hasil pangkat 3 terdekat dan nilainya tidak boleh lebih dari 13824 (lihat tabel pada laman tabel hasil . Untuk mengunduh file gunakan tombol download dibawah ini. Peningkatan kompetensi para guru sd dan smp dalam mengelola pembelajaran. Akar pangkat 3 dari 4096 adalah akar 1331 11 selesai caranya. Cara menghitung akar pangkat 3 dari 13824 brainly co id .

Cara menghitung akar pangkat 3 dari 13824 brainly co id . Menentukan akar pangkat tiga suatu bilangan kubik (kd 1.2, si kelas vi. Jadi misalnya kita sudah mengetahui volume suatu kubus, dengan rumus akar . Pada kasus ini diambil 20, karena 20 3 = 8.000 kurang dari 13824. Akar pangkat 3 merupakan invers dari bilangan pangkat 3 .

Pada kasus ini diambil 20, karena 20 3 = 8.000 kurang dari 13824. Akar Pangkat 3 Youtube
Akar Pangkat 3 Youtube from i.ytimg.com
Akar pangkat 3 merupakan invers dari bilangan pangkat 3 . Akar pangkat 3 dari 4096 adalah akar 1331 11 selesai caranya. Ternyata ada cara yang mudah untuk menentukan akar dari suatu. Akar kubik dari 19638 adalah. Jadi misalnya kita sudah mengetahui volume suatu kubus, dengan rumus akar . Akar pangkat 3 dari 13824 => bilangan yang mendekati yaitu 20 pangkat 3 = 8000 berdasarkan tabel, angka satuan yang memiliki pangkat tiga . Cara menghitung akar pangkat 3 dari 13824 brainly co id . Tiganya adalah n dengan cara mengekstraksi akar pangkat tiga bilangan n itu.

Tiganya adalah n dengan cara mengekstraksi akar pangkat tiga bilangan n itu.

Menentukan akar pangkat tiga suatu bilangan kubik (kd 1.2, si kelas vi. Hasil penarikan akar pangkat tiga adalah faktor dari perkalian pertama 1 dan . Cara menghitung akar pangkat 3 dari 13824 brainly co id . Digunakan untuk menentukan bilangan akar pangkat tiga dari bilangan kubik yang terdiri. Tiganya adalah n dengan cara mengekstraksi akar pangkat tiga bilangan n itu. Fungsi invers, kebalikan dari pangkat 3, adalah akar pangkat tiga. Cari bilangan hasil pangkat 3 terdekat dan nilainya tidak boleh lebih dari 13824 (lihat tabel pada laman tabel hasil . Jadi misalnya kita sudah mengetahui volume suatu kubus, dengan rumus akar . Ternyata ada cara yang mudah untuk menentukan akar dari suatu. Akar pangkat 3 dari 4096 adalah akar 1331 11 selesai caranya. Sebuah bak mandi berbentuk kubus jika terisi penuh mempunyai volume 13824 liter, . Akar kubik dari 19638 adalah. Peningkatan kompetensi para guru sd dan smp dalam mengelola pembelajaran.

Akar Kubik Dari 13824 / Cara Menghitung Perkalian Cepat 7 Detik U Akar Pangkat 3 Kubik Youtube - Jadi misalnya kita sudah mengetahui volume suatu kubus, dengan rumus akar .. Fungsi invers, kebalikan dari pangkat 3, adalah akar pangkat tiga. Cari bilangan hasil pangkat 3 terdekat dan nilainya tidak boleh lebih dari 13824 (lihat tabel pada laman tabel hasil . Akar pangkat 3 dari 13824 => bilangan yang mendekati yaitu 20 pangkat 3 = 8000 berdasarkan tabel, angka satuan yang memiliki pangkat tiga . Hasil penarikan akar pangkat tiga adalah faktor dari perkalian pertama 1 dan . Menentukan akar pangkat tiga suatu bilangan kubik (kd 1.2, si kelas vi.

Posting Komentar untuk "Akar Kubik Dari 13824 / Cara Menghitung Perkalian Cepat 7 Detik U Akar Pangkat 3 Kubik Youtube - Jadi misalnya kita sudah mengetahui volume suatu kubus, dengan rumus akar ."